中央广播电视大学开放教育2010年秋季招生简章
开放教育是经教育部批准,由中央电大组织实施、全国电大系统共同参与、主要面向在职成人的一种新型教育形式。截至2010年春季,全国44所省级电大及中央电大直属学院、八一学院、总参学院、空军学院、西藏学院、残疾人教育学院等全部参与开放教育。开放教育累计注册学生680余万人。
中央电大坚持“面向基层、面向行业、面向农村、面向边远和民族地区”的办学方向,根据行业、企业、岗位及职业发展需要,开设专业和课程,引入国家职业资格证书和行业培训证书,提供“学历证书+培训证书”项目;聘请国内外名校名师、专家学者及行业资深人士担任课程主讲教师和教材主编,整合、利用社会优质教育教学资源,通过全国电大系统实施教学组织与管理。
学习者主要利用文字教材、录音教材、录像教材等多种媒体教材和由计算机网络、卫星电视网络、电信网络有机结合的数字化、多媒体、交互式远程教学平台自主学习。学生可以在家里通过因特网和中央电大及各级电大远程教学平台随时点播和下载网上教学资源,利用网上直播、双向视频系统等网络交互手段,与同学、教师进行学习交流,也可以到教学点参加集中面授学习或参加小组学习。
一、招生专业
1.本科专业(专科起点,与多所著名高校合作开设专业和课程)
经济学(经济分析方向)、金融学、法学(含行政执法方向、双语)、社会工作、教育技术学(教学资源开发方向、校园网开发与维护方向、信息技术教育方向)、小学教育(含双语)、汉语言文学(中文方向、师范方向、文秘方向)、汉语言(双语)、英语(教育方向、商务方向)、广告学、数学与应用数学、机械设计制造及其自动化(机电一体化系统方向、机械制造过程自动化方向、智能控制方向)、计算机科学与技术、软件工程、土木工程(建筑工程方向、建筑管理方向、道路桥梁方向)、水利水电工程、园艺、护理学、工商管理、会计学(含统计系统方向)、物流管理、行政管理(含人事系统方向)、公共事业管理(卫生事业管理)、公共事业管理(教育管理)、市场营销、财务管理、学前教育。
2.专科专业
国际经济与贸易、法学(含双语)、护理学、教育管理、电子信息技术(电子对抗方向、雷达工程方向、通信工程方向、仪电与电子工程方向)、商务韩语(注:以上专业按专业进行注册)。
工商管理(工商企业管理方向、市场营销方向)、会计学(财务会计方向、会计与统计核算方向)、金融(货币银行方向、金融与财务方向、证券投资方向、国际金融方向、保险方向)、现代文员、行政管理(含双语)、城市轨道交通运营管理、应用化工技术、药品经营与管理、文秘、小学教育(含双语)、学前教育(含双语)、汉语言文学、汉语言(双语)、英语(教育方向、商务方向、旅游英语方向)、广告(营销传播方向、设计与制作方向)、园艺、建筑施工与管理、道路桥梁工程施工与管理、工程造价管理、水利水电工程与管理、数控技术(机电方向、导弹工程方向、机械工程方向、军械工程方向)、汽车(汽车维修方向、汽车营销方向、汽车管理与维修方向)、计算机网络技术(网络编辑方向、网络管理方向、网页设计方向、楼宇智能化工程方向)、计算机及应用、计算机信息管理、计算机软件测试、信息系统开发与维护、数字媒体设计与制作、药学、信用管理、室内设计、农村金融、电子商务、物流管理、物业管理、旅游(旅游管理方向、酒店管理方向、低碳旅游管理方向)、社会工作、音乐教育、美术教育、网站开发、动画、光伏发电技术及应用(注:以上为课程开放专业,符合专科入学资格的学生可按专业进行注册,其他学习者可按课程进行注册)
作物生产技术、种子生产与经营、设施农业技术、园艺技术、茶叶生产加工技术、中草药栽培技术、烟草栽培技术、林业技术、园林技术、畜牧兽医、畜牧、特种动物养殖、农业经济管理、农村行政管理、乡镇企业管理、农村信息管理、食品加工技术、观光农业(注:以上为“一村一名大学生计划”专业,符合专科入学资格的学生可按专业进行注册,其他学习者可按课程进行注册)
各省级电大、教学点招生专业及规模、报名时间等具体事宜请向当地电大咨询,也可登录中央电大网站查询(www.crtvu.edu.cn)。
二、招生对象
1.本科专业:
具有国民教育系列相同或相近专业高等专科(含专科)以上学历者。
本科护理学专业招生对象限于护理学专科毕业、持有护士执业资格证书的在职在岗卫生技术人员。
2.专科专业:
具有高中、职高、中专、技校及以上学历者。课程开放专科专业及“一村一名大学生计划”专业可接受具有初中以上学历者注册单科课程学习。
专科护理学、药学专业招生对象限于中专毕业、专业对口的在职在岗卫生技术人员。其中,报读护理学专业的学生必须持有护士执业资格证书。
药品经营与管理专业招生对象限于在医药行业从事药品经营与管理的在职在岗人员。
三、入学水平测试
报名者需参加入学水平测试,入学水平测试由各省级电大按照中央电大统一要求组织实施。
四、课程设置与考试
专业教学计划中的主干必修课程(占全部课程60%以上)由中央电大统一开设,执行统一教学大纲、统一教材、统一考试和统一评分标准;本科各专业开设的英语、计算机应用基础两门课程由教育部统一组织考试;其他课程由省级电大组织教学与考试。
五、毕业及颁证
实行学分制。学籍自注册入学起八年内有效。根据教育部有关要求,二年制专科、专科起点本科专业最短学习年限为两年半。符合毕业要求的,颁发国家承认的专科或本科学历毕业证书,教育部给予毕业证书电子注册。
注册课程开放专科单科课程学习者,所修课程考试合格可获得单科课程结业证书。
中央电大开放教育本、专科毕业证书可在教育部唯一学历证书查询网站-中国高等教育学生信息网(www.chsi.com.cn)查询。
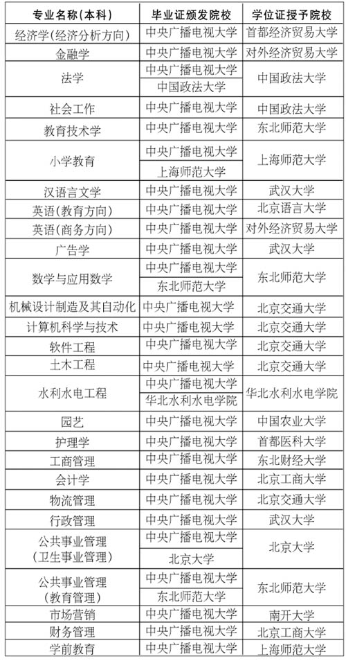
授予学士学位的专业。学生达到授予学位的标准并符合有关规定要求,可获得合作院校授予的学位证书。
开放教育本科专业毕业证书、学位证书授予院校
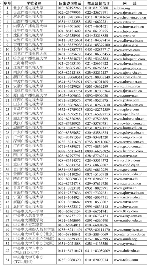
全国各地电大招生咨询电话
中央电大招生咨询电话:010-66490678
中央电大招生监督电话:010-66413062
详情请查询电大在线网站:
www.crtvu.edu.cn
www.open.edu.cn
各地电大招生报名时间等具体事宜请垂询当地电大。
